究竟是我在熬夜 还是夜在熬我?

新浪时尚
文章来源:成分芋言家 微信公众号
原标题:不懂就问:究竟是我在熬夜,还是夜在熬我?
作者:芋头
哈喽,芋头酱来咯!
经历了连续七天的一周,芋头我觉得自己好像已经慢慢找回了工作的感觉(俗称认命了),但又总觉得好像还是有点不对劲,因为——这都一周多了,我的作息还跟假期时差不多,不对,准确来说,是晚上睡觉的时间跟假期一样,非得到凌晨才有睡意,但早上就不一样了,得早起上班啊!

尽管我已经很努力地调整了,但这周一来公司的时候,还是被隔壁小智逮着问脸色怎么这么差!眼看着下周就要到情人节了,顶着这张被黑眼圈、小细纹和毛孔君“轰炸”过的“熬夜脸”,可怎么美美的约会啊?!
不行,我得好好拯救一下这张“熬夜脸”!

本文未特别标注插图皆制作于可画
众所周知,睡眠对我们每个人来说都是非常重要的,而它其实也是有周期的,目前知道的睡眠分为两类:快速眼动睡眠(REM)和非快速眼动睡眠。
入睡时最先进入的是非快速眼动睡眠状态,这一阶段的特点是睡眠很沉,大脑处于非活跃状态,而这一阶段大概会持续90分钟左右。之后便会进入到快速眼动睡眠周期。每个晚上我们大概会重复4-5个这样的睡眠周期,越到后面,睡眠越浅,直到最后自然醒来。

图源视觉中国,下同
根据美国国立卫生研究院的研究,成人每天需要7-8h的睡眠[1],这样算下来,光是睡眠时间大概就要占人生的三分之一呢!在睡眠过程中,人体会发生多系统、多种生理功能的变化,像是血压、心率、激素分泌、免疫防御功能、细胞修复、记忆力恢复和认知调节等等。
但现在,由于各种各样的原因,导致很多人睡眠减少或睡眠时间严重不足,这就可能会导致各种各样的问题。



除了我们今天主要要说的会对皮肤产生不利影响外,长期熬夜,或者再专业点叫做“睡眠剥夺”,不仅容易让人长胖、脱发,还会增加患糖尿病、心血管疾病、消化道疾病、内分泌疾病等的风险,使人体免疫能力下降,学习能力降低,记忆力衰退……
所以说,熬夜危害是真的很大!

说回我们今天的重点,就熬夜对肌肤产生的影响,现在其实已经有不少研究文献了,像是爱茉莉太平洋集团就曾于2014年,让24名年龄在25-35岁之间的女性,在正常睡眠模式和一晚睡眠剥夺(一晚不睡)后评估每个受试者的皮肤状况,探讨短期熬夜对肌肤产生的影响[2]。
![图源参考文献[2]](http://k.sinaimg.cn/n/fashion/crawl/663/w550h113/20230209/98f0-ac7d04ed54678b956a1908724d587e9f.png/w700d1q75cms.jpg?by=cms_fixed_width)
图源参考文献[2]
它还于2019年就32名40多岁的韩国女性进行长期熬夜对肌肤影响的相关研究,让她们在第一周的6个晚上每晚睡8小时,第二周的6个晚上每晚睡4小时后,观察肌肤的一系列变化[3]。
![图源参考文献[3]](http://k.sinaimg.cn/n/fashion/crawl/756/w550h206/20230209/47e2-2ebbe19495818ec01f037e5060f53200.png/w700d1q75cms.jpg?by=cms_fixed_width)
图源参考文献[3]
今天咱就主要依据这两篇文献的研究数据,一起来看看熬夜对肌肤造成的危害吧。
01
黑眼圈
谈到熬夜,可能很多人的第一反应就是将它与“熊猫眼”挂钩吧!别说,这还真不是没有道理的。在进行的短期熬夜实验中发现,熬夜后眼睛和唇部的皮肤血流量都有所减少,眼部的血流变化在编码图像中尤为明显。
![图源参考文献[2]](http://k.sinaimg.cn/n/fashion/crawl/115/w550h365/20230209/abb2-0a145aeb2cfd2a1116fb878b2f71e625.png/w700d1q75cms.jpg?by=cms_fixed_width)
图源参考文献[2]
上图为编码图像,下图为眼部特写,下图中蓝色部分越多,表示血流量越少。
长期熬夜实验则主要观察了受试者眼下肌肤的亮度变化,当受试者仅睡眠4小时后1天,眼下皮肤亮度较睡眠8小时便有所下降,这便很可能形成我们肉眼看上去的“熊猫眼”。
![图源参考文献[3]](http://k.sinaimg.cn/n/fashion/crawl/775/w443h332/20230209/ca66-302953aa99621c92f09fab046a774866.png/w700d1q75cms.jpg?by=cms_fixed_width)
图源参考文献[3]
这些研究数据也就是说,熬夜之后的“熊猫眼”,其实是因为皮肤微循环变差,血液循环变慢,导致血管型黑眼圈出现。对于这个问题,我们可以使用一些含维k、咖啡因或维A成分的眼霜来促进眼部循环,再配合正确的按摩手法(手法在以前讲过,戳这回顾哦),就能够很好地帮助改善眼部肌肤状况~

像是雅诗兰黛第五代小棕瓶眼霜中添加了猴面包树籽提取物搭配二裂酵母精粹、咖啡因,不仅能淡化眼周的细纹干纹,抗老本领超强,还能激活肌肤的修护信号,让眼部肌肤开启自我修护模式,促进眼周循环,跟黑眼圈说拜拜很简单!
02
皮肤干燥
对于熬夜会让皮肤变得更干燥这点,在这两个实验中也都得到了证实。在短期熬夜实验中,我们发现,熬夜一晚后,脸颊和唇部皮肤的水合作用能力明显下降,特别是唇部水合作用的下降幅度更大。
![图源参考文献[2],下同](http://k.sinaimg.cn/n/fashion/crawl/731/w463h268/20230209/dddc-0249188a3fdd6ef798a1c55560ddcc92.png/w700d1q75cms.jpg?by=cms_fixed_width)
图源参考文献[2],下同
不仅如此,睡眠剥夺后,脸颊区域的死皮细胞数量还显著增加了(也就是我们平时说的“脱屑”)。

用角蛋白贴标识拍摄出的图像,所显示的死皮细胞数量变化就更加明显了。

【正常睡眠后】

【熬夜后】
长期熬夜实验也印证了这个结果,实验中,与8小时睡眠相比,减少睡眠一晚后皮肤水合作用显著降低,且皮肤脱屑明显增加。
![图源参考文献[3]](http://k.sinaimg.cn/n/fashion/crawl/738/w550h188/20230209/8d60-d008582f1beeb69042358a476bf65bdf.png/w700d1q75cms.jpg?by=cms_fixed_width)
图源参考文献[3]
总之呢,通过这些实验结果,我们可以知道,即使只是偶尔熬夜,第二天肌肤也往往会变得更加干燥、容易脱屑,所以听芋头的,只要熬过大夜,一定要记得做好脸蛋的保湿补水工作。

科颜氏高保湿面霜就是芋头的挚爱了,橄榄角鲨烷能够锁水保湿,帮助强韧修护肌肤皮脂膜,而冰川保护蛋白则能延长因熬夜而降低的水合作用时间,让肌肤自身的保湿能力更强,还有神经酰胺帮忙补充角质层的重要脂质,舒缓熬夜后紧张不适的肌肤,厚厚敷一层,脸蛋是真的很舒服呢!
03
毛孔粗大
虽然很不想承认,但经过这段时间的熬夜,芋头我确实觉得自己的毛孔好像变大了!这也不是空穴来风,在短期熬夜的实验中,只经历一晚的睡眠剥夺,就已经发现脸颊处的毛孔面积明显增加了。
![图源参考文献[2],下同](http://k.sinaimg.cn/n/fashion/crawl/59/w487h372/20230209/5697-3359096b766490618b37cb76a613cbe7.png/w700d1q75cms.jpg?by=cms_fixed_width)
图源参考文献[2],下同
这个情况在VISIA-CR®成像中显示得更为清楚,我们可以看到,熬夜后的毛孔似乎变得更大且更明显了。

熬夜前

熬夜后
而对油皮来说,情况可能更加糟糕,当长期熬夜使得体内皮质醇水平较高时,皮脂腺就会分泌得更加旺盛,早起“一脸油”不再是梦!再加上毛孔变大,痘痘、闭口等一系列“灾难”很可能会接踵而至……
所以,不管是毛孔变大还是其它油皮“噩梦”,芋头觉得熬夜后,我们可以适当使用一些含酸类成分的护肤品,帮助肌肤控油、收毛孔。当然,酸类产品刺激性较大,宝子们需要注意根据自己肌肤的敏感程度选择合适的产品哈!

芋头我呀,一直在用的就是城野医生轻酸瓶,它添加的是99%高纯亲脂的杏仁酸(数据来源于官方,后同),这样的脂溶性大分子杏仁酸刺激性相对较低,能够帮助我们温和控油、细腻肌肤,它还有3%和5%两个含酸浓度可以选择,第一次尝试的话芋头更建议从低浓度开始哦~
04
肤色暗沉无光
咳咳,不用我说,熬夜之后脸色差,是“熬夜星人”的基本表现了吧!虽然是共识,但咱还是用数据说话,在短期熬夜实验中,经历一晚睡眠剥夺后,可以看到皮肤半透明性是明显降低了的,而半透明性正是反映肌肤细腻光泽度的重要指标。
![图源参考文献[2],下同](http://k.sinaimg.cn/n/fashion/crawl/678/w391h287/20230209/e34b-96fac42ae239021cb3bd9bd2ee452eb6.png/w700d1q75cms.jpg?by=cms_fixed_width)
图源参考文献[2],下同
除了半透明性降低,通过VISIA-CR®成像评估看皮肤亮度 (L*),脸颊处的肌肤亮度降低得尤为明显,眼部和嘴唇倒是变化不大。

而在长期熬夜实验中,与8小时睡眠相比,减少睡眠1晚后,皮肤光泽度也是显著降低的。
![图源参考文献[3]](http://k.sinaimg.cn/n/fashion/crawl/728/w437h291/20230209/ca01-c6c515c708275d25ac8871f1ee715594.png/w700d1q75cms.jpg?by=cms_fixed_width)
图源参考文献[3]
熬夜为啥会使肌肤暗沉无光这个问题,结合熬夜的上面几条危害,其实并不难理解。对干皮来说,熬夜让原本就干燥缺水的肌肤雪上加霜,肌肤看起来自然更缺乏光泽感了。而对油皮来说,熬夜使出油增多,这也是肌肤暗沉的重要原因。
对此,我们可以使用一些能够抗氧提亮的产品,像是比较经典的修丽可CE精华、珀莱雅双抗精华等,又或者是一些能够让肌肤更加通透的美白产品,都可以帮助我们改善熬夜后暗沉无光的肌肤状态。

谷雨光感淡斑精华的亮白思路就很不错,它以90%+高纯度光甘草定(数据来源于官方)为主要成分,通过抑制酪氨酸酶活性来抑制色素生成,再以牡丹根皮提取物+银杏提取物+维E衍生物三重防黑成分减轻肌肤受到的氧化压力,馨敏舒+β-葡聚糖+维生素原B5增强肌肤抵御力,减少返黑可能性,这样改善熬夜后的暗沉无光,不就很容易了嘛!
05
细纹增多
本“修仙人”表示,这个夜是真的不能熬啊,“夜夜催人老”,这可一点都没错!短期熬夜实验中显示,脸颊和眼周区域代表皮肤弹性的R7数值,在通宵一晚后,是真的会降低啊!这也就是说,弹弹润润的小脸蛋是真的会在一夜之间“身受重伤”啊!
![图源参考文献[2]](http://k.sinaimg.cn/n/fashion/crawl/703/w447h256/20230209/e2a0-7a4232e8f1206b0cfc5c20df4a4e8202.png/w700d1q75cms.jpg?by=cms_fixed_width)
图源参考文献[2]
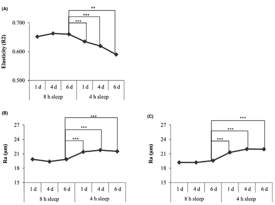
长期熬夜实验的结果也不例外,受试者在每天只有4小时睡眠期间,肌肤弹性呈现逐渐降低的趋势(下图A),并且,与睡眠8小时相比,鱼尾纹和皱眉纹在仅睡眠4小时后1天就显!著!增!加!(下图B、图C)
![图源参考文献[3]](http://k.sinaimg.cn/n/fashion/crawl/160/w550h410/20230209/702d-92b6e93910e55c426428b2b37224d700.png/w700d1q75cms.jpg?by=cms_fixed_width)
图源参考文献[3]
还记得为了抗老我们费了多大的功夫吗?仅需一晚,这些心血可能就都付诸东流了,所以说,熬夜这事,不干也罢!
但俗话说,人在“江湖”身不由己,说不准某个夜晚就可能会被迫熬夜,既然这样,那就在熬夜之后赶快用含A醇、玻色因、胜肽、补骨脂酚等成分的抗老类护肤品补救一下吧!

鉴于最近的肌肤状态不咋稳定,芋头我瞄准了相对比较温和的抗老成分玻色因,这玻色因啊,还得是欧娘娘玩得好!比如说,欧莱雅小蜜罐就以玻色因搭配四胜肽,将胶原蛋白管教得服服帖帖,紧实充盈肌肤的本事杠杠滴!它还有油皮、混油适用的轻盈版和干皮、中性肤质适用的滋润版两种,大家根据自己的肤质选择即可~
06
肌肤敏感
刚才说到芋头最近的肌肤状态不太稳定,除了外界环境的影响,我觉得应该也少不了熬夜的“掺和”,就这么一看,还真被我找到了证据。
在短期熬夜实验中,代表皮肤屏障完整性的TEWL数值,在通宵一晚后,脸颊和眼周区域显著增加,这也就表示,熬夜是会让肌肤屏障功能受损滴!
![图源参考文献[2]](http://k.sinaimg.cn/n/fashion/crawl/725/w464h261/20230209/f2a8-60f02c13c340311522d18a8766c3a10a.png/w700d1q75cms.jpg?by=cms_fixed_width)
图源参考文献[2]
另外,在长期熬夜实验中,与8小时睡眠相比,受试者在4小时睡眠的第1天和第6天皮肤发红情况都明显有所增加。
![图源参考文献[3]](http://k.sinaimg.cn/n/fashion/crawl/770/w440h330/20230209/ae69-61cfa0ae5ec93b18f9a593dd9afeede7.png/w700d1q75cms.jpg?by=cms_fixed_width)
图源参考文献[3]
出现这些肌肤状况,除了熬夜使肌肤屏障受损外,皮肤在熬夜后干燥脱屑更严重,也是使其更容易敏感的重要原因。综上,想要改善肌肤敏感,不仅要补水保湿,还要修护强韧肌肤屏障,让肌肤自身强大起来才是硬道理!

我的维稳修护第一选择当然是理肤泉B5修复霜啊!理肤泉的当家成分维生素原B5(泛醇)在舒缓熬夜后肌肤不适感的同时,还能促进肌肤屏障的自我修护,搭配积雪草苷、乳木果油以及理肤泉温泉水,肌肤修护的速度那是嗖嗖快!有它在,修护维稳这事,芋头我是一点儿都不担心~
好啦,今天就是这些了!总而言之,言而总之,熬夜一时爽,后果真的很严重!珍爱肌肤,远离熬夜!就酱,芋头要去好好休息啦~
参考文献
[1] Luyster FS,Strollo PJ Jr,Zee PC,et al. Sleep: A health imperative[J]. Sleep,2012,35( 6) : 727-734.
[2] Kim M A, Kim E J, Kang B Y, et al. The effects of sleep deprivation on the biophysical properties of facial skin[J]. Journal of Cosmetics, Dermatological Sciences and Applications, 2017, 7(1): 34-47.
[3] Jang S I, Lee M, Han J, et al. A study of skin characteristics with long‐term sleep restriction in Korean women in their 40s[J]. Skin Research and Technolog, 2020, 26(2): 193-199.
[4] 刘威,胡克.睡眠剥夺与多系统相关疾病关系的研究进展[J].医学综述,2021,27(23):4696-4701.